Siegfried Behn (de)

From Glottopedia
Jump to navigation Jump to search

Leben

Behn wurde am 3.6.1884 in Hamburg geboren. 1897-1903 Gymnasium in Hamburg und Worms; 1903-1908 Studium der Philosophie, Psychologie und weiterer Fächer in München und Heidelberg; 1908 Promotion in Heidelberg; 1908-1913 weitere Studien in München, Heidelberg, Zürich und Bonn; 1913 venia legendi für Philosophie und Psychologie in Bonn; 1913-1922 Privatdozent für Philosophie in Bonn; 1922-1933 a.o. Professor für Philosophie und zeitweise überschneidend Dozent, später Professor an der Pädagogischen Akademie in Bonn; 1931 o. Professor für Philosophie unter besonderer Berücksichtigung der experimentellen Pädagogik an der Universität Bonn, 1937-1949 o. Professor für Philosophie und Psychologie an der Universität Bonn. Im Mai 1945 übernimmt Behn die Leitung der Nachrichtenkommission, die das Verhalten der Universitätsangehörigen in der Zeit des Nationalsozialismus zu überprüfen hatte. 18.10.1949 Emeritation. Gest. 27.11.1970 in Bonn-Bad Godesberg.

Bedeutung

Behn ist für die Quantitative Linguistik von Bedeutung, weil er als Psychologe in seinen experimentellen Untersuchungen zum Rhythmus literarischer Werke schon früh dem Zu¬sammenhang auf die Spur gekommen ist, der später als „Menzerath-Altmann-Gesetz“ (Altmann & Schwibbe 1989; Asleh & Best 2004/05) bekannt geworden ist: „Es besteht also eine Tendenz, die Dauer verschiedener Zeilen einander anzugleichen.“ Und: „Zeilen mit mehr Silben werden gegen solche mit weniger Silben [in ihrer Dauer; Verf.] verkürzt, oder umgekehrt: Zeilen mit weniger Silben werden gegen solche mit mehr Silben verlängert“ (Behn 1912: 97). Mit dieser Erkenntnis gehört Behn als einer der frühesten Autoren in die Vorgeschichte des Menzerath-Altmann-Gesetzes, dessen Entwicklung von Altmann & Schwibbe (1989: 60) und Cramer (2005: 659f.) skizziert wird. Allerdings wirft seine Version möglicherweise theoretische Probleme auf, da er Silben in einen Zusammenhang mit Gedichtzeilen bringt. Hier muss man die Frage stellen, wo in der Hierarchie sprachlicher Einheiten die „Zeile“ anzusiedeln ist? Setzt man „Zeile“ einmal mit „Satz“ gleich, stimmt das Verhältnis: Je länger der Satz, desto kürzer die Teilsätze; je kürzer die Teilsätze, desto länger die Wörter. Bis hierher hat man es mit dem sog. Arensschen Gesetz zu tun (Altmann & Schwibbe 1989: 46ff.), das zumindest als Trend hinreichend empirisch abgesichert ist. Die nächste Verbindung ist dann: Je länger die Wörter, desto kürzer die Silben. Damit wäre Behns Feststellung bestätigt: Je län¬ger die Zeile (≈ Satz), desto kürzer die Silbe. Der Trend müsste allerdings noch schwächer ausgeprägt sein, als es beim Arensschen Gesetz der Fall ist, da ja noch eine hierarchische Ebene hinzukommt. Nun kann man aber keineswegs „Zeile“ immer mit „Satz“ gleichstellen. Womit aber dann? Eine Zeile wird oft weniger als einen Satz, manchmal aber auch mehr als einen solchen enthalten. Man tut wohl gut daran, Behns Feststellung als Hypothese aufzufassen und einer Prüfung auf der Grundlage hinreichender Daten zu unterziehen.

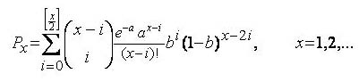
Behn ist aber noch in einem weiteren Zusammenhang interessant, ohne damit selbst als Quantitativer Linguist in Erscheinung zu treten: Er unterscheidet bei der Analyse von Gedichten 5 Betonungsstufen: 1: leicht betont, 2: schwach betont, 3: voll betont, 4: stark betont, 5: schwer betont (Behn 1921: 278; ähnlich 1912: 40) und analysiert einige Beispiele (1912: 115ff.; 1921: 279). Interpretiert man diese Betonungsgrade einmal als Komplexitätsstufen und stellt sie für die Gedichte, die Behn entsprechend markiert hat, in einer Tabelle zusammen, kann man zeigen, dass sie der 1-verschobenen Hirata-Poisson-Verteilung (Wimmer & Altmann 1999: 256)

FormelBehn1.JPG

folgen. Dieses Modell gehört zu den Verteilungen, die für das Vorkommen von Einheiten unterschiedlicher Komplexität vorgeschlagen wurden (Wimmer & Altmann 1996: 129).

Tabelle 1
Heine, Was will die einsame Träne

Behn1a.JPG

(Behn 1912, 115f., zu: Heinrich Heine, Was will die einsame Träne, in: Buch der Lieder. Die Heimkehr 1823-1824, Nr. 27.)


Legende zu den Tabellen:

x = Betonungsgrade
nX = beobachtete Zahl der Silben mit Betonungsgrad x
FG = Freiheitsgrade
a,b = Parameter der Hirata-Poisson-Verteilung
X2 = Wert des Chiquadrats
P = Überschreitungswahrscheinlichkeit des betreffenden Chiquadrats

Die Verteilung erweist sich als geeignetes Modell für die beobachteten Daten, wenn P ≥ 0.05, was in allen drei Fällen gegeben ist.


Tabelle 2
Heine, Ich wollt‘ meine Schmerzen ergössen sich

Behn2a.JPG


(Behn 1912, 116f., zu: Heinrich Heine, Ich wollt‘ meine Schmerzen ergössen sich, in: Buch der Lieder. Die Heimkehr 1823-1824, Nr. 61.)

Tabelle 3
Keller, Nacht

Behn3a.JPG

(Behn 1921, 279, zu: Gottfried Keller, Nacht)

Behns Unterscheidung von 5 Betonungsgraden ermöglicht es, ihre Verteilung in den von ihm selbst akzentuierten Gedichten zu überprüfen. Es erweist sich in allen drei Fällen als möglich, eines der bekannten und theoretisch begründeten Modelle an diese Texte anzupassen, die Hirata-Poisson-Verteilung, die sich bisher bei Wortlängenverteilungen im modernen Französischen (Dieckmann & Judt 1996; Feldt, Janssen & Kuleisa 1997) sowie im Schweizerdeutschen (Stark 2001) bewährt hat. Auffällig ist, dass bei den Heine-Gedichten nicht, wie sonst üblich, eine kontinuierliche Abnahme von den weniger komplexen zu den aufwendigeren Einheiten zu beobachten ist, sondern eine erhebliche Schwankung. Eine solche Datenstruktur wurde bisher nur selten, z.B. bei Wortlängen in chinesischen Texten vorgefunden (Zhu & Best 1992; Best & Zhu 1994: 28; 2001). Damit zeigt sich, dass die Theorie sich nach Wort- und Satzlängen und etlichen anderen Entitäten mit den Betonungsgraden anscheinend in noch einem, bisher nicht behandelten Bereich bewährt. Da es sich nur um Daten zu 3 Texten handelt, muss man natürlich vorsichtig sein, zumal die Entscheidung über die Betonungsgrade sicher nicht immer unproblematisch ist, auch wenn Behn (1912: 102f.) ein möglichst operationales Verfahren dazu angibt.

Literatur

(Die Darstellung der wichtigsten biographischen Daten erfolgte aufgrund der Informationen der Universität Bonn und des Biographisch-Bibliographischen Kirchenlexikons, die problemlos im Internet zugänglich sind. In diesen Quellen sind auch hinreichend Informationen über die weiteren wissenschaftlichen Aktivitäten und Werke von Behn erhältlich; die Literaturliste beschränkt sich daher auf die wenigen einschlägigen Arbeiten.)

  • Altmann, Gabriel & Schwibbe, Michael H.. 1989. Das Menzerathsche Gesetz in informationverarbeitenden Systemen. Hildesheim: Olms.
  • Asleh, Laila & Best, Karl-Heinz. 2004/05. Zur Überprüfung des Menzerath-Altmann-Gesetzes am Beispiel deutscher (und italienischer) Wörter. Göttinger Beiträge zur Sprachwissenschaft 10/11. 9-19.
  • Behn, Siegfried. 1912. Der deutsche Rhythmus und sein eigenes Gesetz. Eine experimentelle Untersuchung. Straßburg: Trübner.
  • Behn, Siegfried. 1921. Rhythmus und Ausdruck in deutscher Kunstsprache. Bonn: Verlag v. Friedrich Cohn.
  • Best, Karl-Heinz & Zhu, Jinyang. 1994. Zur Häufigkeit von Wortlängen in Texten deutscher Kurzprosa (mit einem Ausblick auf das Chinesische). In: Klenk, Ursula (Hrsg.). Computatio Linguae II. Stuttgart: Steiner. 19-30. (= ZDL-Beiheft 83)
  • Best, Karl-Heinz & Zhu, Jinyang. 2001. Wortlängenverteilungen in chinesischen Texten und Wörterbüchern. In: Best, Karl-Heinz (Hrsg.). Häufigkeitsverteilungen in Texten. Göttingen: Peust & Gutschmidt, 101-114.
  • Cramer, Irene M.. 2005. Das Menzerathsche Gesetz. In: Köhler, Reinhard; Altmann, Gabriel & Piotrowski, Rajmund G. (Hrsg.). Quantitative Linguistik - Quantitative Linguistics. Ein internationales Handbuch:. Berlin/ N.Y.: de Gruyter, 659-688.
  • Dieckmann, Sandra & Judt, Birga. 1996. Untersuchung zur Wortlängenverteilung in französischen Pressetexten und Erzählungen. In: Schmidt, Peter (Hrsg.). Glottometrika 15. Trier: Wissenschaftlicher Verlag Trier. 158-165.
  • Feldt, Sabine; Janssen, Marianne & Kuleisa, Silke. 1997. Untersuchung zur Gesetzmäßigkeit von Wortlängenhäufigkeiten in französischen Briefen und Pressetexten. In: Best, Karl-Heinz (Hrsg.). Glottometrika 16. Trier: Wiss. Verlag Trier. 145-151.
  • Stark, Alexandra B.. 2001. Die Verteilung von Wortlängen in schweizerdeutschen Texten. In: Best, Karl-Heinz (Hrsg.). Häufigkeitsverteilungen in Texten. Göttingen: Peust & Gutschmidt, 153-161 .
  • Wimmer, Gejza & Altmann, Gabriel. 1996. The Theory of Word Length Distribution: Some Results and Generalizations. In: Schmidt, Peter (Hrsg.). Glottometrika 15. Trier: Wissenschaftlicher Verlag Trier. 112-133.
  • Wimmer, Gejza & Altmann, Gabriel. 1999. Thesaurus of univariate discrete probability distributions. Essen: Stamm.
  • Zhu, Jinyang & Best, Karl-Heinz. 1992. Zum Wort im modernen Chinesisch. Oriens Extremus 35. 45-60.

Quelle

Karl-Heinz Best: Siegfried Behn (1884-1970). Glottometrics 13, 2006, 85-88