Karl Knauer (de)
Karl Knauer (vollständig: Karl August Friedrich Knauer) wurde am 16.8.1906 in Hamburg geboren, besuchte die Oberrealschule in Augsburg und studierte ab SS 1925 neuere Sprachen in München. Promotion Juni 1929, 1929-1932 Lektor für deutsche Sprache in Lille, Frankreich. Am 15.3.35 Habilitation in Münster mit der Venia legendi für romanische Philologie und der Ernennung zum Dozenten. Ab 24.4.42 apl. Professor. Knauer wurde in seinem Entnazifizierungsverfahren im Mai 1948 als nicht belastet eingestuft. 1960 Wissenschaftlicher Rat und Prof. für Romanische Philologie, Univ. Münster. Er verstarb am 22.5.1966 in Münster (Hausmann 2000; Lausberg 1980; Schuder 1966; Untiedt 2003).
Linguistische Arbeitsschwerpunkte: Farbbezeichnungen, Sprachkurs (Spanisch), Stilistik, Wörterbuch (Bertelsmann Wörterbuch; Sachs-Vilatte), Wortschatz.
Knauers Auffassung von philologischer Forschung äußert sich darin, dass er generell von „einer Wissenschaft vom Wort“ spricht, und „damit nicht Linguistik oder Literaturwissenschaft...[meint], sondern ihr Ganzes“ (Knauer 1950, 1080).
Karl Knauer ist für die Quantitative Linguistik bedeutsam, weil er sich mit der Klangästhetik der romanischen Sprachen auf exakter Grundlage, d.h. mit Methoden wissenschaftlicher Stilistik, befasste und eindringlich für eine stärkere Berücksichtigung statistischer Methoden in Linguistik und Literaturwissenschaft plädierte. Er beklagte „ein Übergewicht an qualitativen Urteilen“, ja „eine unleugbare Mathematikfeindlichkeit“, die im Widerspruch zu „der von Platon geforderten zentralen Bedeutung der Mathematik“ stehe:
„Bei der Beobachtung wissenschaftlicher Objekte machen wir, nicht anders als im täglichen Leben, teils qualitative, teils quantitative Feststellungen, wobei diese Erfahrungsarten durch vielfache gegenseitige Bedingtheiten miteinander verflochten erscheinen“; er fordert „eine grundsätzliche Aufrollung quantitativer Problemstellungen“ (alle Zitate: Knauer 1955, 141f.). Zur Demonstration seiner Ansichten befasst sich Knauer (1955, 145ff.) u.a. mit der These, das Italienische weise spezifische Klangeigenschaften auf, indem er die Rangordnung der Lauthäufigkeiten des Italienischen mit der des Französischen vergleicht. In Knauer (1958, 174) meint er, die Einsicht nehme zu, „daß die quantifizierende Arbeitsweise dazu geeignet ist, das Verständnis des Forschers über die Findung und Erklärung des neuen Einzelfalles in größere, unifizierende Zusammenhänge zu leiten.“
Ein gutes Beispiel für Knauers Bemühungen um eine statistisch fundierte Stilistik ist seine Habilitationsschrift zu Marmontel. Er vertritt die These, dass Marmontel „seine stilistischen Bestrebungen so gut wie ausschließlich auf das Gebiet der lautlichen Formgebung beschränkt“ (Knauer 1936: 144). Um seine Auffassung zu stützen vergleicht er u.a. die Verteilungen von rhythmischen Gruppen (Kola) in drei Abschnitten von Marmontels Roman Les Incas, ou La destruction de l’empire du Pérou (Paris 1777) mit denjenigen, die er in Werken von Rousseau und Voltaire vorfindet, welche in dieser Hinsicht weniger Auffälligkeiten zeigen. Zuvor hatte schon Servien (1930: 103, passim) entsprechende Erhebungen durchgeführt. Betrachtet man die ausgezählten Abschnitte aus heutiger Perspektive, dass Einheiten beliebiger Art, die in Texten in verschiedener Länge auftreten, bestimmten Gesetzmäßigkeiten folgen sollten (Wimmer, Köhler, Grotjahn, Altmann 1994; Wimmer & Altmann 1996, Wimmer, Witkovsky & Altmann 1999, u.a.), so kann man Knauers Annahme, dass Marmontel zumindest in den betreffenden Textabschnitten deutlich andere stilistische Mittel einsetzt als Rousseau und Voltaire, nur bestätigen.
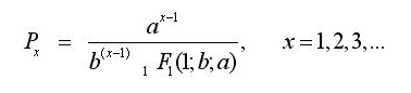
Die von Knauer dargebotenen Textabschnitte wurden daraufhin geprüft, ob sie der verschobenen Hyperpoisson-Verteilung (hier in 1-verschobener Form)
folgen. Die Besonderheit der rhythmischen Gestaltung durch Marmontel wird u.a. dadurch deutlich, dass die Tests bei den Texten von Rousseau und Voltaire erfolgreich waren, bei den Textabschnitten von Marmontel aber nicht, wie die folgen Tabellen zeigen:
Daten: Knauer (1936: 34); Text: Les Incas, Kap. XVII, T. I, S. 226ff. (Knauer 1936: 27-33).
Legende zu den Tabellen:
| Kl: | Längenklasse; |
| x: | Zahl der Silben pro rhythmischer Gruppe; |
| nx: | beobachtete Häufigkeit der rhythmischen Gruppen mit x Silben; |
| NPx: | aufgrund der Hyperpoisson-Verteilung berechnete Häufigkeit der rhythmischen Gruppen mit x Silben; |
| a, b: | Parameter der Hyperpoisson-Verteilung; |
| X2: | Wert des Chiquadrats; |
| FG: | Freiheitsgrade; |
| P: | Überschreitungswahrscheinlichkeit des Chiquadrats. |
Die senkrechten Striche zeigen eine Zusammenfassung der betreffenden Längenklassen an. Die Anpassung der Hyperpoisson-Verteilung an die beobachteten Daten wird als erfolgreich betrachtet, wenn P <math>\geq</math> 0.05; 0.01 <math>\leq</math> P < 0.05 signalisiert ein schwaches, gerade noch akzeptables Ergebnis.
Tabelle 1 zeigt, dass die Verteilung rhythmischer Gruppen in diesem Text bei den mittleren Längen einen mehrfachen Wechsel zwischen häufigen und seltenen Längen aufweist, und nicht, wie zu erwarten wäre, zunächst eine kontinuierliche Zunahme und dann eine ebenso kontinuierliche Abnahme der Häufigkeiten. Die Werte schwanken so stark, dass die Hyperpoisson-Verteilung ebenso wenig wie andere sonst verwendete Modelle angepasst werden kann. Dies gilt auch für die Cohen-C-Verteilung und die Pandey-Poisson-Verteilung, die einen Verschiebeparameter aufweisen und damit lokale Störungen in den Daten ausgleichen können. (Die von Knauer 1936: 34, Fußn. 1a angedeutete geringfügig andere Analyse des Textes ändert an diesem Befund nichts Wesentliches.)
Ein ähnlicher Fall wurde bereits bei Wortlängen in chinesischen Texten verschiedener Funktionalstile beobachtet (Best & Zhu 2001); auch da traten mehrfache Wechsel zwischen hohen und niedrigen Häufigkeiten im Verlauf der Daten auf. Durch Zusammenfassung von jeweils zwei Nachbarklassen konnte gezeigt werden, dass trotz der Schwankungen gesetzmäßige Verteilungen vorliegen. Wendet man dieses Verfahren auf die Verteilung rhythmischer Gruppen an, so lässt sich zeigen, dass im Fall Chant de Mort die Pandey-Poisson-Verteilung mit P = 0.07 erfolgreich angepasst werden kann. (Zur Auswirkung unterschiedlicher Zusammenfassungen vgl. Kelih & Grzybek 2004).
Die Hyperpoisson-Verteilung wird hier und in den folgenden Fällen trotz der schlechten Ergebnisse präsentiert, um den Vergleich mit den Texten von Rousseau und Voltaire zu ermöglichen. So wird die Besonderheit der rhythmischen Gestaltung durch Marmontel deutlich. Die Testergebnisse, die nach Zusammenfassung benachbarter Längenklassen erzielt werden, sollen aber genannt werden, um zu zeigen, dass auch in Marmontels Textgestaltung Gesetzmäßigkeiten nachweisbar sind.
Daten: Knauer (1936: 68f.); Text: Les Incas, Kap. XXVIII, T. II, S. 34ff. (Knauer 1936: 61-67). Bei Zusammenfassung von Nachbarklassen kann die Pandey-Poisson-Verteilung mit P = 0.51 angepasst werden.
Daten: Knauer (1936: 91); Text: Les Incas, Kap. I, T. II, S. 30ff. (Knauer 1936: 81-89). Bei Zusammenfassung von Nachbarklassen ergibt die Cohen-C-Poisson-Verteilung P = 0.07.
Ein ganz anderes Bild ergibt sich, wenn man die rhythmischen Gruppen bei Rousseau und Voltaire untersucht. Knauer (1936) hat dazu je einen Textauszug verwendet und auf zweierlei Weise ausgewertet: einmal in „prosaischer Zählung“ und dann in „poetischer Zählung (Knauer 1936: 127). Die Auswertung unterscheidet sich dadurch, dass das „e muet“ und die metrischen Diphthonge bei der poetischen Zählung einen anderen Silbenwert erhalten als bei der prosaischen.
Daten: Knauer (1936: 140); Text: Nouvelle Heloïse, IV² partie, aus Brief XVII (Knauer 1936: 132-134).
Daten: Knauer (1936: 130); Text: L’homme aux quarante écus, Des Proportions, Abschn. 1-13 (Knauer 1936: 123-126).
Die Texte von Rousseau und Voltaire unterscheiden sich bei der Verteilung der rhythmischen Gruppen von denen Marmontels dadurch, dass sie keine mehrfachen, auffälligen Wechsel zwischen häufigen und seltenen benachbarten Längenklassen aufweisen. Dies schlägt sich auch in den unterschiedlichen Anpassungen der Hyperpoisson-Verteilung nieder, womit eine weitere Bestätigung der Ideen von Knauer gewonnen ist. (Die gleiche Verteilung lässt sich übrigens mit P = 0.68 auch an die von Servien 1930: 103 mitgeteilte Datei zu Chateaubriand, Atala anpassen.)
Gegen Knauers Einteilung der Texte in rhythmische Gruppen wurden deutliche Vorbehalte erhoben (Cuénot 1938, 391). Solche Einwände sind m.E. nicht sehr erheblich, da derartige Auswertungen immer beträchtlich von der Interpretation der Texte abhängig sind, die sich bei verschiedenen Bearbeitern, ja sogar bei ein und demselben Bearbeiter zu verschiedenen Zeiten unterscheiden mag. Das gleiche Problem begegnete bereits im Zusammenhang mit der Untersuchung von Texten im Hinblick auf die Verteilung rhythmischer Einheiten (Best 2002, 138). Cuénot hat aber natürlich Recht mit dem Hinweis, dass man die Datenerhebung in höherem Maß intersubjektiv gestalten kann.
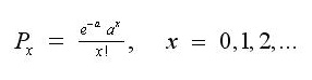
Ein anderes Thema taucht in Knauer (1965, 41971, 198) auf: hier widmet er sich dem Problem der Rekurrenz von [k] in 75 Sonetten Baudelaires, indem er u.a. die Zahl der Gedichte erfasst, in denen [k] an Versanfängen keinmal, einmal, zweimal usw. bis zu fünfmal vorkommt. Man kann dies m.E. als ein Diversifikationsphänomen (Altmann 1991) ansehen und entsprechend durch Anpassung der Poisson-Verteilung
modellieren:
Legende:
| x | Zahl der Versanfänge auf [k]; |
| nx | beobachtete Zahl der Gedichte mit 0, 1, 2...5 Versanfängen auf [k]; |
| NPx | aufgrund der Poisson-Verteilung berechnete Zahl der Gedichte mit 0, 1, 2...5 Versanfängen auf [k]; |
| a | Parameter der Poisson-Verteilung. |
Knauer nutzt diese Beobachtungen, um eine stärkere Affinität Baudelaires zu [k] als zu [p] und [t] zu konstatieren. Aus heutiger Sicht ist aber auch bedeutsam, dass hier wieder eine gesetzmäßige Verteilung nachweisbar ist.
Die dargebotenen Beispiele von Textauswertungen vermitteln einen ersten Eindruck von Knauers Vorgehensweise bei der klangästhetischen Analyse von literarischen Kunstwerken. Die beiden folgenden Zitate (Knauer 1955, 148) verdeutlichen nochmals Knauers Vorstellungen von der Bedeutung der Statistik:
„Die mathematische Statistik sucht ... die der direkten Anschauung oft verborgenen, aber für das Verständnis wesenhafter Zusammenhänge im unbelebten wie im belebten Reich der Dinge wichtigen Ordnungen auf und ist deshalb in den jüngsten Jahrzehnten ... in den verschiedensten Zweigen der Forschung zu einem bedeutenden Erkenntnismittel geworden.“ Und: „Die wissenschaftliche Statistik stellt sich die Aufgabe, durch möglichst wenige und möglichst einfache Ausdrücke in mathematischer Prägung die in solchen Häufigkeitsverteilungen angelegten Gesetzmäßigkeiten kenntlich zu machen.“
Knauer hat gewiss seinen Beitrag „zur Schaffung einer Forschungsatmosphäre, die in unseren sprach- und literaturwissenschaftlichen Disziplinen wünschenswert und notwendig erscheint“ (Knauer 1955, 149), geleistet. Außerhalb der Romanistik dürfte sein Beitrag in der Sammlung von Gunzenhäuser & Kreuzer (1965, 41971) noch am ehesten bekannt sein. Mehr als ein schwaches, zeitweise versickerndes und gelegentlich mit großem Unverständnis aufgenommenes Rinnsal in der Gesamtentwicklung der philologischen Forschung ist aus derartigen Bemühungen und Plädoyers aber für lange Zeit nicht geworden.
Es ist hier nicht der Ort, Knauers klangästhetische Untersuchungen im Detail zu entwickeln; die gegebenen Andeutungen sollen genügen. Die folgenden Literaturhinweise mögen ggfs. den Weg zu einer intensiveren Befassung mit ihnen weisen. Es ging vielmehr darum, zu zeigen, dass Knauer wissenschaftliche Positionen bezogen hat, die die Position der Quantitativen Linguistik stärken, und dass er außerdem zu sonst kaum beachteten Themen Daten erarbeitete, die man heute aus neu begründeter theoretischer Perspektive aufgreifen kann. Er gehört zu den Autoren, die die Quantitative Linguistik wiederentdecken sollte.
Literatur
Diese Liste enthält, abgesehen von Rezensionen, die meisten wissenschaftlichen Arbeiten von Knauer, da eine solche Übersicht nirgends in publizierter Form zu existieren scheint. Einige Arbeiten, die in der Bearbeitungszeit nicht zu verifizieren waren, fehlen allerdings.
- Altmann, Gabriel. 1991. Modelling diversification phenomena in language. In: Rothe, Ursula (Hrsg.). Diversification Processes in Language: Grammar. Hagen: Margit Rottmann Medienverlag, 33-46.
- Best, Karl-Heinz. 2002. The distribution of rhythmic units in German short prose. Glottometrics 3. 136-142.
- Best, Karl-Heinz & Zhu, Jinyang. 2001. Wortlängenverteilungen in chinesischen Texten und Wörterbüchern. In: Best, Karl-Heinz (Hrsg.). Häufigkeitsverteilungen in Texten. Göttingen: Peust & Gutschmidt, 101-114.
- Cuénot, C.. 1938. Rez. zu Knauer (1936). Zeitschrift für romanische Philologie 58. 389-393.
- Gunzenhäuser, Rul & Kreuzer, Helmut. 1965, 41971. Mathematik und Dichtung. Versuche zur Frage einer exakten Literaturwissenschaft. 4. durchgesehene Auflage. München: Nymphenburger.
- Hausmann, Frank-Rutger. 2000. „Vom Strudel der Ereignisse verschlungen.“ Deutsche Romanistik im „Dritten Reich“. Frankfurt/M.: Vittorio Klostermann.
- Kelih, Emmerich & Grzybek, Peter. 2004. Häufigkeiten von Satzlängen: Zum Faktor der Intervallgröße als Einflussvariable (am Beispiel slovenischer Texte). Glottometrics 8. 23-41.
- Knauer, Karl. 1930. Beiträge zum Ausdruck von Abstraktem im Französischen. Romanische Forschungen XLIV, 185-254. (Diss. München)
- Knauer, Karl. 1935. Lodovico Ariosto. Zum Wesen und Wirken seiner Kunst. Germanisch-romanische Monatsschrift XXIII. 368-389.
- Knauer, Karl. 1936. Ein Künstler poetischer Prosa in der französischen Vorromantik: Jean-François Marmontel. Habilitationsschrift. Bochum-Langendreer: Druck: Heinrich Pöppinghaus.
- Knauer, Karl. 1936. Voltaire- und Rousseau-Stil. Germanisch-romanische Monatsschrift XXIV. 282-299.
- Knauer, Karl. 1937. Die klangästhetische Kritik des Wortkunstwerks am Beispiel französischer Dichtung. Deutsche Vierteljahresschrift für Literaturwissenschaft und Geistesgeschichte 15. 69-91.
- Knauer, Karl. 1937. Musik in der Sprache – Wohlklang und Mißklang. Sprachkunde Nr. 5. 11-13.
- Knauer, Karl. 1938. Französische Sprache als Klangkunst und als Gegenstand ästhetischer Forschung. Zeitschrift für französische Sprache und Literatur LXI. 257-272.
- Knauer, Karl. 1942. Einheit und Vielgestalt im Klangbau der europäischen Sprachen. Sprachkunde Nr. 2. 4-5.
- Knauer, Karl. 1943. Exaktheit in der Wissenschaft vom Wort. Sprachkunde Nr. 3/ 4. 1-3.
- Knauer, Karl. 1943. Sprachwissenschaftliche Klangästhetik auf exakter Grundlage. Helicon IV. 147-160.
- Knauer, Karl. 1943/44. Die Proportionen des sprachlichen Lautgefüges. Eine methodische Studie über den Klangcharakter der französischen Umgangssprache. Zeitschrift für französische Sprache und Literatur LXV. 47-52.
- Knauer, Karl. 1950. Grenzen der Wissenschaft vom Wort. Akademie der Wissenschaften und der Literatur in Mainz, Abhandlungen der Geistes- und Sozialwissenschaftlichen Klasse, Jahrgang 1950, Nr. 13. Verlag der Akademie der Wissenschaften und der Literatur in Mainz; Wiesbaden: in Komm. Franz Steiner Verlag, 1077-1093.
- Knauer, Karl. 1953. Quelques aspects de l’exigence d’exactitude en critique littéraire. Essais de philologie moderne (1951): Bibliothèque de la Faculté de Philosophie et Lettres de L’Université de Liège, Fasc. CXXIX. Paris: Société d’Édition „Les belles Lettres“, 201-208.
- Knauer, Karl. 1954. Vulgärfranzösisch. Charakterzüge und Tendenzen des gegenwärtigen französischen Wortschatzes. München: Hueber.
- Knauer, Karl. 1955. Grundfragen einer mathematischen Stilistik. Forschungen und Fortschritte 29. 140-149.
- Knauer, Karl. 1956. Der Anteil der Sprachwissenschaft an der Erforschung menschlicher Verhaltensweisen mit Hilfe quantifizierender Methoden. Actes du IVe congrès international des sciences anthropologiques et ethnologiques, Vienne, 1-8 Septembre 1952. Tome III: Ethnologica. Seconde Partie et Rapport Général. Wien: Holzhausen, 213-223.
- Knauer, Karl. 1956. Die Einbeziehung des Mengenfaktors in die Interpretation sprachästhetischer Ordnungen dargestellt an einem Problem aus Théophile Gautiers Reimstilistik. Forschungen und Fortschritte 30. 13-17.
- Knauer, Karl. Bearb. 1956. Nachtrag 1956 zu Sachs-Villatte, Enzyklopädisches Wörterbuch der französischen und deutschen Sprache. Teil II: Deutsch – Französisch. Berlin: Langenscheidt.
- Knauer, Karl. 1958. Ein Gestaltproblem der altfranzösischen Laissenkunst. Als Beitrag zur Erforschung meßbarer Ordnungsgebilde in Werken der Dichtung. Forschungen und Fortschritte 32. 174-179.
- Knauer, Karl. 1964. Elektronische Filter bei der Untersuchung sprachlicher Klangstrukturen. Forschungen und Fortschritte 38. 332-337.
- Knauer, Karl. 1965; 41971. Die Analyse von Feinstrukturen im sprachlichen Zeitkunstwerk. Untersuchungen an den Sonetten Baudelaires. In: Kreuzer, Helmut zusammen mit Rul Gunzenhäuser (Hrsg.). Mathematik und Dichtung. Versuche zur Frage einer exakten Literaturwissenschaft. 4. durchgesehene Auflage. München: Nymphenburger, 193-210.
- Knauer, Karl. 1965. Über Klangfarbenstrahlung bei Baudelaire. Zeitschrift für französische Sprache und Literatur LXXV. 228-246.
- Knauer, Karl. 1967. Die Klangfarbendriften in Baudelaires Alexandrinersonetten. Archiv für das Studium der neueren Sprachen und Literaturen 118. Jg./ 203. Bd., 272-277.
- Knauer, Karl & Knauer, Elisabeth. 1960. Bertelsmann Wörterbuch: Französisch – Deutsch/ Deutsch – Französisch. Gütersloh: Bertelsmann.
- Knauer, Karl & Pizzaro, José. 1957. 30 Stunden Spanisch für Anfänger. Berlin: Langenscheidt.
- Lausberg, Heinrich. 1980. Die Romanistik an der Universität Münster. In: Dollinger, Heinz (Hrsg.). Die Universität Münster 1780-1980. Münster: Aschendorff, 401-410.
- Schuder, Werner (Hrsg.). 1966. Kürschners Deutscher Gelehrten-Kalender 1966. Zehnte Ausgabe. A-M. Berlin: de Gruyter.
- Servien, Pius. 1930. Les rhythmes comme introduction physique à l’estétique. Nouvelles méthodes d’analyse et leur application notamment à la musique, aux rhythmes du français et aux mètres doriens. Paris: Boivin.
- Untiedt, Frank. 2003. Die Fächer Anglistik und Romanistik an der Westfälischen Wilhelms-Universität in der NS-Zeit. Staatsexamensarbeit, Münster
- Wimmer, Gejza & Altmann, Gabriel. 1996. The Theory of Word Length Distribution: Some Results and Generalizations. In: Schmidt, Peter (Hrsg.). Glottometrika 15. Trier: Wissenschaftlicher Verlag Trier. 112-133.
- Wimmer, Gejza; Köhler, Reinhard; Grotjahn, Rüdiger & Altmann, Gabriel. 1994. Towards a Theory of Word Length Distribution. Journal of Quantitative Linguistics 1. 98-106.
- Wimmer, Gejza; Witkovský, Viktor & Altmann, Gabriel. 1999. Modification of Probability Distributions Applied to Word Length Research. Journal of Quantitative Linguistics 6. 257-268.
Ich danke Karl-Heinz Kieselbach, Elisabeth Knauer-Romani, Marie-Rose Wörner und dem Universitätsarchiv, Westfälische Wilhelms-Universität Münster, für persönliche und fachliche Informationen.
Quelle
Karl-Heinz Best: Karl Knauer (1906-1966). Glottometrics 12, 2006, 75-97







