Jan Czekanowski
Jan Czekanowski earned himself a lasting place in the history of the social sciences as an eminent scholar of African anthropology and as the creator of the Polish school of anthropology (Jones 2002; Czekanowska-Kuklińska, Bar 2002). He is known for having played an important role in saving the Polish-Lithuanian branch of the Karaim minority from Nazi extermination1 . During his long scientific career he also encountered linguistic and statistical issues: he is the author of the first Polish textbook of applied statistics (Czekanowski 1913) and the initiator of linguistic research employing numerical taxonomy (Czekanowski 1947). For many years he was the vice-president of the Polish Statistical Society.
1Interrogated by German “Rassenforscher” (“race scientists”), Czekanowski managed to convince them that the Karaim people, although professing Judaism and using Hebrew as a liturgical language, was of Turkish origin. This helped the Karaims escape the tragic destiny of the European Jews and Roms (cf. the paper by A. Juzwa-Ogińska: www.promemoria.pl/arch/2003_7/kara/kara.html).
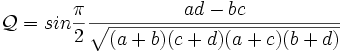
It was during his studies on the history of Slavonic languages that he presented a classification of these languages based on grammatical and syntactical features. The foundation of this classification was comprised of 23 linguistic features appearing in the Balto-Slavonic group and in other languages, as well as 16 other features specific to the Balto-Slavonic group only (ibid. 15–17). The author of the list of discriminant features which Czekanowski used was his close associate T. Lehr-Spławinski. These linguistic features were assigned binary values (present or absent) and on this basis 12 groups of the family of the Indo-European languages were classified (ibid. 18). He proceeded in a similar manner with a list of 20 linguistic features provided to him by J. Kuryłowicz (ibid. 20). Then he calculated the degrees of similarity between the individual languages, using to this end equation (1), which expresses the level of correlation (similarity) of two languages as well as a contingency table (Tab.1) containing the number of features shared between the languages compared (ibid. 21–22).
After calculating the correlation coefficients for all the language pairs representing the most important Indo-European groups, the author constructed their distance matrix. Czekanowski’s method, based on Lehr-Spławinski and Kuryłowicz’s lists of features, confirmed the existence of clusters of related languages, but in contrast to the traditional approach it introduced a numerical element and in this way expressed the degree of quantitative relatedness of languages. His results undermined the thesis of a close relationship between the Baltic and Germanic groups, placing the western Slavonic languages between the Germanic region and the territorial domain of the Baltic languages (ibid. 31).
It is worth recalling at this point that Czekanowski’s classification originated within a particular historical and ideological context, as the representatives of Polish science were defending the thesis of the autochthonic status of the Slavs, according to which the original homeland of the Slavonic peoples was Central Europe, rather than some vaguely defined region to the east postulated by, among others, German scholars (Czekanowski 1947: 3–12)2 . This earlier feud over the primal homeland has now lost its acuteness, and the politicisation of linguistics, though still present, has moved into other areas, such as those relating to globalisation and the protection of ethnic languages from the pressure of English. Czekanowski’s methodology should be recognised, however, as an ideology-free and lasting contribution to the development of quantitative linguistics.
2 It is worth adding that in later years J. Woronczak also expressed his opinions in the discussion over the Slavs primal homeland. With his characteristic sense of humour he said that it is difficult to present convincing evidence in this question, but if indeed some Slavonic people did remain in the same region for over two thousand years, this would not speak favourably of them, but prove that they were incapable of expanding and conquering new territory. The current problems connected with this issue are to be found in the numerous works of W. Mańczak.
In the 1940’s Czekanowski’s concepts were a novelty in the lecture halls of the world and they foretold the imminent arrival of advanced multidimensional methods. Indeed, these methods form the basis of linguistic typology today, and are also applied in other fields in which taxonomies play a key role. But if one looks at Polish linguistics after 1947, one sees that the promising development of the application of multidimensional scaling practically came to a standstill which, by the way, has remained so to this day. Exceptions to this rule, e.g. J. Woronczak’s ideas which, for various reasons, did not reach practical realisation, as well as a few other studies (Jassem, Łobacz 1995; Pawłowski 2004), have not altered this state of affairs.
References
- Czekanowska-Kuklińska, A. & Bar, J.. 2002. Jan Czekanowski (1882-1965) – Antropolog i etnograf, profesor uniwersytetów we Lwowie, Lublinie i Poznaniu [Jan Czekanowski (1882-1965) – anthropologist, ethnologist and professor of the Universities in Lvov, Lublin and Poznań]. In: Etnografowie i Ludoznawcy polscy – Sylwetki, Szkice autobiograficzne. Kraków: Polskie Towarzystwo Muzyki Ludowej, 52-56 .
- Czekanowski, J.. 1913. Zarys metod statystycznych w zastosowaniu do antropologii [An outline of statistical methods applied in anthropology]. Warszawa: Towarzystwo Naukowe Warszawskie.
- Czekanowski, J.. 1947. Polska synteza slawistyczna w perspektywie ilościowej [Polish Slavonic synthesis in quantitative perspective]. Kraków: Polska Akademia Umiejętności, Rozprawy Wydziału Historyczno-Filozoficznego, Seria II, t.XLVI, nr 2.
- Jassem, W. & Łobacz, P.. 1995. Multidimensional scaling and its Applications in a Perceptual Analysis of Polish Consonants. Journal of Quantitative Linguistics 2/2. 105-124.
- Jones, A. (ed.). 2002. Jan Czekanowski, africanist ethnographer and physical anthropologist in early twentieth-century Germany and Poland. Leipzig: Institut für Afrikanistik.
- Pawłowski, A.. 2004. Multidimensional scaling in the analysis of language corpora (from word frequencies to the map of Europe). Research paper presented at the 28. Annual Conference of the German Classification Society in Dortmund.
Quelle
Adam Pawłowski: Glottometrics 9, 2005, 75-89


