Adolf Lucas Bacmeister (de)
Geb. 9.7.1827 in Esslingen, gest. 25.2.1873 Stuttgart. Ab 1841 Besuch des evangelisch-theologischen Seminars in Blaubeuren, ab 1845 Studium der Theologie, später der Philologie in Tübingen. B. war 1848 in die Revolution verwickelt und wurde verhaftet und zu mehrmonatiger Haft verurteilt. 1853 philologisches Examen, danach Lehrer. 1857-64 Gymnasiallehrer in Reutlingen, 1864 Schriftleiter der Augsburger Allgemeinen Zeitung, 1865 Promotion zum Dr.phil. in Tübingen, 1871 Schriftleiter der Zeitschrift Ausland. Ab 1872 freier Feuilletonist. (Nach DBE, NDB und Schmid 1886.) Arbeitsbereiche: eigene literarische Werke; Bearbeitungen und Übersetzungen älterer deutscher und lateinischer Literatur; Untersuchungen zu Orts- und Personennamen sowie zu weiteren linguistischen Themen. In Bacmeister (1870) erschien eine Auswahl seiner Zeitungsbeiträge. Eine weitere Auswahl journalistischer und literarischer Arbeiten findet sich in Bacmeister (1886), von den Herausgebern als „populär-wissenschaftlich“ (S. III) charakterisiert. Obwohl Bacmeister mehrere sprachstatistische Untersuchungen durchgeführt hat, ist er in der Quantitativen Linguistik bisher so gut wie unbekannt. Einen Hinweis gibt es aber:
Auf Bacmeisters Häufigkeitsbestimmung von Buchstaben (1870b) macht Menzerath (1954: 1, Fußn. 1) aufmerksam und nennt sie „eine der ältesten und interessantesten Zählungen.“ In diesem Beitrag geht Bacmeister auf das Problem der Kosten für die Übermittlung von Nachrichten ein (1870b: 74): „Welche Art der Beförderung ist theurer, die welche sich für je 100 Buchstaben 20 Pf. St. zahlen läßt? oder die, welche nach continentaler Rechnung für 20 Worte als einfache Depesche den gleichen (denn so müssen wir natürlich vorläufig annehmen) Betrag fordert?“ Um das Problem zu lösen, zählt er zunächst die Wörter und Buchstaben eines bestimmten Textes (einer Thronrede) aus, der in Deutsch als Original, in Englisch, Französisch, Italienisch, Schwedisch und Spanisch als Übersetzung vorlag, und kann so am Beispiel eines Textes das Verhältnis von Wörtern und Buchstaben in diesen Sprachen numerisch vergleichen, außerdem auch noch dadurch, dass er einen Index Buchstaben/ Wort bildet. Damit liegt lange vor Greenberg (1960) bereits ein Wortlängenindex vor. Bacmeisters (1870b: 74f.) Ergebnisse:
| Sprache | Wörter | Buchstaben | Buchstaben/ Wort |
| Deutsch (Original) | 601 | etwa 3300 | 5.5 |
| Englisch | 744 | 3572 | 4.8 |
| Französisch | 719 | 3456 | 4.8 |
| Italienisch | 563 | etwa 3600 | 4.6* |
| Schwedisch | 509 | etwa 3060 | 6 |
| Spanisch | 713 | 3440 | 4.8 |
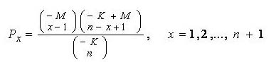
Es folgt im gleichen Aufsatz die von Menzerath erwähnte Zusammenstellung, welcher deutsche Buchstabe unter insgesamt 1000 wie häufig vertreten ist, wobei Bacmeister (1870b: 77) auch die Umlaute berücksichtigt. <ch> wertet er als eigenen Buchstaben, <ß> fehlt allerdings. Den Abschluss des Artikels bilden Überlegungen dazu, wie man die Kosten der Nachrichtenübertragung ggfs. verringern kann. Seine Auswertung, für die Bacmeister einen kleinen Zählungsfehler einräumt, findet sich in Tabelle 2, wobei zusätzlich wie schon in Best (2006) die 1-verschobene negative hypergeometrische Verteilung
angepasst wurde. Erläuterungen zu Tabelle 2:
| nx: | beobachtete Anzahl der Buchstaben |
| NPx: | Anzahl der Buchstaben nach der negativen hypergeometrischen Verteilung |
| K, M, n: | Parameter der Verteilung |
| X2: | Werte des Chiquadrates |
| FG: | Freiheitsgrade |
| P: | Überschreitungswahrscheinlichkeit für das entsprechende Chiquadrat |
Die Anpassung der negativen hypergeometrischen Verteilung an die Textdateien wird als erfolgreich betrachtet, wenn P <math>\geq</math> 0.05 bzw. C <math>\leq</math> 0.01.
Man sieht, Bacmeisters Daten sind so gut, dass man das Modell, das sich auch sonst bei Buchstaben bewährt (Best 2006), mit sehr gutem Testergebnis anpassen kann. Testkriterium ist P = 0.996, da die Datei mit insgesamt 1000 Buchstaben nicht allzu groß ist.
Zwei weitere Themen werden statistisch behandelt:
In seinem Beitrag (1870a: 5) gibt er zunächst eine statistische Übersicht der 25 häufigsten englischen Nachnamen und bedauert, dass es eine solche umfassende Übersicht deutscher Familiennamen nicht gibt: „Hätten wir eine ähnliche Statistik aus Deutschland, sie würde ein eigenthümliches Gegenstück der obigen [gemeint: die englische, Verf.] bieten.“ Im weiteren Verlauf des Artikels nennt er dann ersatzweise eigene Zählungen zu den Nachnamen von Reutlingen, das 1859 etwa 13000 Einwohner hatte, und von Eningen mit ca. 4000 Einwohnern.
Auch an die von Bacmeister (1870a: 7-8) erhobenen Namen der beiden Städte kann man die 1-verschobene negative hypergeometrische Verteilung anpassen:
Die ungewöhnliche Reihenfolge der Namen erklärt Bacmeister (1870a:7) damit, dass Reutlingen „bis in die neuere Zeit sich ziemlich abgeschlossen gegen fremden Zuzug gehalten“ habe. Für das benachbarte Eningen gibt Bacmeister (1870a: 8) an:
Statt der 1-verschobenen negativen hypergeometrischen Verteilung kann man an die Rangordnung der Nachnamen auch Altmanns Modell für beliebige Rangordnungen (Altmann 1993) mit ebenfalls sehr guten Ergebnissen anpassen.
In einem weiteren Artikel (Bacmeister 1870c: 97) geht er auf die Frage ein, wie viele Wurzeln man für eine Sprache annehmen muss. Zum Chinesischen führt er aus, diese Sprache habe 450 „begriffsbildende Lautgruppen“, die aufgrund der Töne „1200 bis 1500 verschiedene Klanggruppen“ bilden. Damit glaubt er in Übereinstimmung mit anderen Autoren die Dimension des Wortschatzes getroffen zu haben. Er verweist in diesem Zusammenhang u.a. auf Pott, der die durchschnittliche Zahl der Wurzeln je Sprache auf ca. 1000 geschätzt habe.
Bacmeister gehört aufgrund seiner Erhebungen zu den frühen deutschsprachigen Autoren, die sich der Statistik bedienen, um sprachliche Verhältnisse zu charakterisieren, im Falle der Nachrichtenübertragung aber darüber hinaus auch mit dem Ziel, ganz praktische, in diesem Fall ökonomische Probleme anzugehen. Grund genug, ihn in die Annalen der Quantitativen Linguistik aufzunehmen.
(Die folgende Literaturliste verzeichnet auch Publikationen, die für die Quantitative Linguistik nicht relevant sind; sie soll dazu beitragen, das Bild von Bacmeister zu ergänzen.)
Literatur
- Altmann, Gabriel. 1993. Phoneme counts. In: Altmann, G. (ed.). Glottometrika 14 . Trier: Wissenschaftlicher Verlag Trier. 54-68.
- Bacmeister, Adolf. 1858. Das Nibelungenlied für die Jugend bearbeitet. Stuttgart: Neff. (Weitere Auflagen 1874, 1886)
- Bacmeister, Adolf. 1860. Gudrun. Altdeutsches Heldengedicht neudeutsch bearbeitet. Reutlingen. (2. Aufl. Stuttgart: Neff o.J. [1874].)
- Bacmeister, Adolf. 1860. Die Oden des Qu. Horatius Flaccus im Versmaß des Urtextes verdeutscht. Stuttgart: Neff.
- Bacmeister, Adolf. 1861. freidanks bescheidenheit. Spruchsammlung aus dem 13. Jahrhundert. Neudeutsch bearbeitet. Reutlingen: Palm.
- Bacmeister, Adolf. 1861/ 1867. Margret More, Tagebuch 1522-1535. Deutsch von Adolf Bacmeister. Stuttgart: Mäcken.
- Bacmeister, Adolf. 1867. Alemannische Wanderungen. 1. Ortsnamen der keltisch-römischen Zeit. Slavische Siedlungen. Stuttgart: Cotta.
- Bacmeister, Adolf. 1870. Germanistische Kleinigkeiten. Stuttgart: Kröner.
- Bacmeister, Adolf. 1870a. Alte Familiennamen. In: Bacmeister. 1870, 1-52.
- Bacmeister, Adolf. 1870b. Stenotelegraphie. In: Bacmeister. 1870, 73-80.
- Bacmeister, Adolf. 1870c. Der Ursprung der Sprache. In: Bacmeister. 1870, 94-102.
- Bacmeister, Adolf. 1872. Cornelius Tacitus. Das Leben des Julius Agricola. Uebersetzt von Adolf Bacmeister. Stuttgart: Neff.
- Bacmeister, Adolf. 1874. Keltische Briefe. Hrsg. v. Keller, Otto. Straßburg: Trübner.
- Bacmeister, Adolf. 1886. Abhandlungen und Gedichte. Mit einer Biographie Bacmeisters hrsg. v. Hartmann, Julius, Klaiber, Julius, & Schmid, Rudolf. Stuttgart: Kohlhammer. (Das Buch enthält im Anschluss an die Biographie ein Verzeichnis der Bücher Bacmeisters.)
- Bacmeister, Adolf & Keller, Otto. 1891. Die Briefe des Quintus Horatius Flaccus. Im Versmaß der Urschrift verdeutscht. Leipzig: Teubner.
- Best, Karl-Heinz. 2006. Zur Häufigkeit von Buchstaben, Leerzeichen und anderen Schriftzeichen in deutschen Texten. Glottometrics 11. 9-31. DBE: Deutsche Biographische Enzyklopädie (DBE). Bd. 1. Hrsg. v. Walter Killy. München u.a.: K.G. Sauer 1995.
- Greenberg, Joseph H.. 1960. A Quantitative Approach to the Morphological Typology of Languages. International Journal of American Linguistics 26. 178-194.
- Haering, Hermann & Hohenstatt, Otto (Hrsg.). 1942. Schwäbische Lebensbilder. 3. Bd.. Stuttgart: Kohlhammer. (Enthält eine Kurzbiographie Bacmeisters.)
- Lernoff, Theobald [= Pseudonym für Bacmeister, Adolf]. 1860. Deutsche Sonette. Ulm: Nübling.
- Menzerath, Paul. 1954. Die Architektonik des deutschen Wortschatzes. Bonn: Dümmler. NDB: Neue deutsche Biographie. 1. Bd. Hrsg. von der historischen Kommission bei der bayerischen Akademie der Wissenschaften. Berlin: Duncker & Humblot 1953.
- Schmid, Rudolf. 1886. Adolf Bacmeisters Biographie. In: Bacmeister. 1886, VII-XXXV.
Quelle
Karl-Heinz Best, Adolf Lucas Bacmeister (1827-1873), Glottometrics 13, 2006, 79-84




